Online Database of Chemicals from Around the World

2-Hydroxy-10-[5-Hydroxy-6-(Hydroxymethyl)-3,4-Bis[(3,4,5-Trihydroxyoxan-2-Yl)Oxy]Oxan-2-Yl]Oxy-2,6a,6b,9,9,12a-Hexamethyl-1,3,4,5,6,6a,7,8,8a,10,11,12,13,14b-Tetradecahydropicene-4a-Carboxylic Acid
[CAS 135630-75-0]

Suppliers
CAS#: 135630-75-0
Product: 2-Hydroxy-10-[5-Hydroxy-6-(Hydroxymethyl)-3,4-Bis[(3,4,5-Trihydroxyoxan-2-Yl)Oxy]Oxan-2-Yl]Oxy-2,6a,6b,9,9,12a-Hexamethyl-1,3,4,5,6,6a,7,8,8a,10,11,12,13,14b-Tetradecahydropicene-4a-Carboxylic Acid
No suppilers available for the product.
Identification
Name 2-Hydroxy-10-[5-Hydroxy-6-(Hydroxymethyl)-3,4-Bis[(3,4,5-Trihydroxyoxan-2-Yl)Oxy]Oxan-2-Yl]Oxy-2,6a,6b,9,9,12a-Hexamethyl-1,3,4,5,6,6a,7,8,8a,10,11,12,13,14b-Tetradecahydropicene-4a-Carboxylic Acid
Synonyms 2-Hydroxy-10-[5-Hydroxy-6-(Hydroxymethyl)-3,4-Bis[(3,4,5-Trihydroxytetrahydropyran-2-Yl)Oxy]Tetrahydropyran-2-Yl]Oxy-2,6A,6B,9,9,12A-Hexamethyl-1,3,4,5,6,6A,7,8,8A,10,11,12,13,14B-Tetradecahydropicene-4A-Carboxylic Acid; 2-Hydroxy-10-[[5-Hydroxy-6-(Hydroxymethyl)-3,4-Bis[(3,4,5-Trihydroxy-2-Tetrahydropyranyl)Oxy]-2-Tetrahydropyranyl]Oxy]-2,6A,6B,9,9,12A-Hexamethyl-1,3,4,5,6,6A,7,8,8A,10,11,12,13,14B-Tetradecahydropicene-4A-Carboxylic Acid; 2-Hydroxy-10-[5-Hydroxy-6-Methylol-3,4-Bis[(3,4,5-Trihydroxytetrahydropyran-2-Yl)Oxy]Tetrahydropyran-2-Yl]Oxy-2,6A,6B,9,9,12A-Hexamethyl-1,3,4,5,6,6A,7,8,8A,10,11,12,13,14B-Tetradecahydropicene-4A-Carboxylic Acid
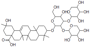
Molecular Structure CAS#: 135630-75-0, 2-Hydroxy-10-[5-Hydroxy-6-(Hydroxymethyl)-3,4-Bis[(3,4,5-Trihydroxyoxan-2-Yl)Oxy]Oxan-2-Yl]Oxy-2,6a,6b,9,9,12a-Hexamethyl-1,3,4,5,6,6a,7,8,8a,10,11,12,13,14b-Tetradecahydropicene-4a-Carboxylic Acid
Molecular Formula C45H72O17
Molecular Weight 885.05
CAS Registry Number 135630-75-0
SMILES C(C6C(O)C(C(C(OC3C(C2CCC1(C5(C(=CCC1C2(CC3)C)C4CC(O)(C)CCC4(CC5)C(=O)O)C)C)(C)C)O6)OC7C(C(O)C(CO7)O)O)OC8C(C(O)C(CO8)O)O)O
InChI 1S/C45H72O17/c1-40(2)26-9-12-44(6)27(8-7-21-22-17-41(3,56)13-15-45(22,39(54)55)16-14-43(21,44)5)42(26,4)11-10-28(40)60-38-35(62-37-33(53)30(50)24(48)20-58-37)34(31(51)25(18-46)59-38)61-36-32(52)29(49)23(47)19-57-36/h7,22-38,46-53,56H,8-20H2,1-6H3,(H,54,55)
InChIKey OYDWTLURLATONI-UHFFFAOYSA-N
Properties
Density 1.429g/cm3 (Cal.)
Boiling point 987.443°C at 760 mmHg (Cal.)
Flash point 286.052°C (Cal.)
Market Analysis Reports
Related Products
N-Hydroxy-N-(7-...  (2R,3R,4R)-4-Hy...  (E)-4-[2-Hydrox...  (4Z,6Z,8E)-3-Hy...  9-[5-O-[Hydroxy...  5'-O-[Hydroxy[[...  9-[5-O-[Hydroxy...  [4-Hydroxy-5-[[...  (2S,3R,4S)-3-Hy...  [5-Hydroxy-2-[6...  (6E)-8-(9-Hydro...  10-Hydroxy-8-[(...  8-Hydroxy-2-[8-...  (-)-5-Hydroxy-3...  [5-Hydroxy-6-[[...  Hydroxy[[5-Hydr...  Hydroxy{[5-hydr...  3-{5-Hydroxy-8-...  [(E)-5-[Hydroxy...  4-O-[2-Hydroxy-...