Online Database of Chemicals from Around the World

(5R,8R,11R,12S,15S,18S,19S,22R)-15-[3-(Diaminomethylideneamino)Propyl]-18-[(1E,3E,5S,6S)-6-Methoxy-3,5-Dimethyl-7-Phenylhepta-1,3-Dienyl]-5,12,19-Trimethyl-2-Methylidene-8-(2-Methylpropyl)-3,6,9,13,16,20,25-Heptaoxo-1,4,7,10,14,17,21-Heptazacyclopentacosane-11,22-Dicarboxylic Acid
[CAS 134842-07-2]

Suppliers
CAS#: 134842-07-2
Product: (5R,8R,11R,12S,15S,18S,19S,22R)-15-[3-(Diaminomethylideneamino)Propyl]-18-[(1E,3E,5S,6S)-6-Methoxy-3,5-Dimethyl-7-Phenylhepta-1,3-Dienyl]-5,12,19-Trimethyl-2-Methylidene-8-(2-Methylpropyl)-3,6,9,13,16,20,25-Heptaoxo-1,4,7,10,14,17,21-Heptazacyclopentacosane-11,22-Dicarboxylic Acid
No suppilers available for the product.
Identification
Name (5R,8R,11R,12S,15S,18S,19S,22R)-15-[3-(Diaminomethylideneamino)Propyl]-18-[(1E,3E,5S,6S)-6-Methoxy-3,5-Dimethyl-7-Phenylhepta-1,3-Dienyl]-5,12,19-Trimethyl-2-Methylidene-8-(2-Methylpropyl)-3,6,9,13,16,20,25-Heptaoxo-1,4,7,10,14,17,21-Heptazacyclopentacosane-11,22-Dicarboxylic Acid
Synonyms (5R,8R,11R,12S,15S,18S,19S,22R)-15-(3-Guanidinopropyl)-8-Isobutyl-18-[(1E,3E,5S,6S)-6-Methoxy-3,5-Dimethyl-7-Phenyl-Hepta-1,3-Dienyl]-5,12,19-Trimethyl-2-Methylene-3,6,9,13,16,20,25-Heptaoxo-1,4,7,10,14,17,21-Heptazacyclopentacosane-11,22-Dicarboxylic Acid; (5R,8R,11R,12S,15S,18S,19S,22R)-15-(3-Guanidinopropyl)-8-Isobutyl-18-[(1E,3E,5S,6S)-6-Methoxy-3,5-Dimethyl-7-Phenylhepta-1,3-Dienyl]-5,12,19-Trimethyl-2-Methylene-3,6,9,13,16,20,25-Heptaoxo-1,4,7,10,14,17,21-Heptazacyclopentacosane-11,22-Dicarboxylic Acid; (5R,8R,11R,12S,15S,18S,19S,22R)-15-(3-Guanidinopropyl)-8-Isobutyl-3,6,9,13,16,20,25-Heptaketo-18-[(1E,3E,5S,6S)-6-Methoxy-3,5-Dimethyl-7-Phenyl-Hepta-1,3-Dienyl]-5,12,19-Trimethyl-2-Methylene-1,4,7,10,14,17,21-Heptazacyclopentacosane-11,22-Dicarboxylic Acid
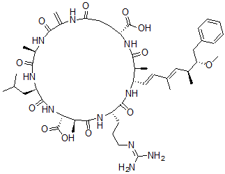
Molecular Structure CAS#: 134842-07-2, (5R,8R,11R,12S,15S,18S,19S,22R)-15-[3-(Diaminomethylideneamino)Propyl]-18-[(1E,3E,5S,6S)-6-Methoxy-3,5-Dimethyl-7-Phenylhepta-1,3-Dienyl]-5,12,19-Trimethyl-2-Methylidene-8-(2-Methylpropyl)-3,6,9,13,16,20,25-Heptaoxo-1,4,7,10,14,17,21-Heptazacyclopentacosane-11,22-Dicarboxylic Acid
Molecular Formula C48H72N10O12
Molecular Weight 981.16
CAS Registry Number 134842-07-2
SMILES [C@H]1(NC(=O)[C@H]([C@@H](NC(=O)[C@H](NC(=O)[C@H](NC(=O)C(NC(=O)CC[C@@H](NC(=O)[C@H]([C@@H](NC1=O)\C=C\C(=C\[C@@H]([C@@H](OC)CC2=CC=CC=C2)C)C)C)C(O)=O)=C)C)CC(C)C)C(O)=O)C)CCCN=C(N)N
InChI 1S/C48H72N10O12/c1-25(2)22-36-45(65)58-39(47(68)69)29(6)41(61)55-34(16-13-21-51-48(49)50)44(64)54-33(18-17-26(3)23-27(4)37(70-9)24-32-14-11-10-12-15-32)28(5)40(60)56-35(46(66)67)19-20-38(59)52-30(7)42(62)53-31(8)43(63)57-36/h10-12,14-15,17-18,23,25,27-29,31,33-37,39H,7,13,16,19-22,24H2,1-6,8-9H3,(H,52,59)(H,53,62)(H,54,64)(H,55,61)(H,56,60)(H,57,63)(H,58,65)(H,66,67)(H,68,69)(H4,49,50,51)/b18-17+,26-23+/t27-,28-,29-,31+,33-,34-,35+,36+,37-,39+/m0/s1
InChIKey WLWITBHAANNFHV-YNYQYFAYSA-N
Properties
Density 1.317g/cm3 (Cal.)
Market Analysis Reports
Related Products
N-[5-(Diaminome...  (2S)-N-[2-[[(2S...  (3S)-3-[8-(Diam...  2-[8-[8-(Diamin...  (3S)-4-[[(2S)-1...  (2S)-5-(Diamino...  (Diaminomethyli...  2-[4-[3-(Diamin...  2-[3-(Diaminome...  9-[3-(Diaminome...  N-(Diaminomethy...  N-(Diaminomethy...  (2S)-5-(Diamino...  (E)-2-(Diaminom...  5-(Diaminomethy...  4-(Diaminomethy...  N-(Diaminomethy...  Diaminomethylid...  N-(Diaminomethy...  (1E)-1-(Diamino...