Online Database of Chemicals from Around the World

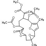
Methyl 2-[10,13-Diacetoxy-4,15-Dimethyl-8-Oxo-3,7,17-Trioxatetracyclo[12.2.1.16,9.02,4]Octadeca-1(16),9(18),14-Trien-12-Yl]Acrylate
[CAS 134455-96-2]

Suppliers
Achemica Switzerland
+41 (24) 466-2929
contact@achemica.com
Chemical manufacturer since 2010
Identification
Name Methyl 2-[10,13-Diacetoxy-4,15-Dimethyl-8-Oxo-3,7,17-Trioxatetracyclo[12.2.1.16,9.02,4]Octadeca-1(16),9(18),14-Trien-12-Yl]Acrylate
Molecular Structure CAS#: 134455-96-2, Methyl 2-[10,13-Diacetoxy-4,15-Dimethyl-8-Oxo-3,7,17-Trioxatetracyclo[12.2.1.1<Sup>6,9</Sup>.0<Sup>2,4</Sup>]Octadeca-1(16),9(18),14-Trien-12-Yl]Acrylate
Molecular Formula C25H28O10
Molecular Weight 488.48
CAS Registry Number 134455-96-2
SMILES Cc1cc2oc1C(C(CC(C3=CC(CC4(C2O4)C)OC3=O)OC(=O)C)C(=C)C(=O)OC)OC(=O)C
InChI 1S/C25H28O10/c1-11-7-19-22-25(5,35-22)10-15-8-17(24(29)33-15)18(31-13(3)26)9-16(12(2)23(28)30-6)21(20(11)34-19)32-14(4)27/h7-8,15-16,18,21-22H,2,9-10H2,1,3-6H3
InChIKey DORQEQXBYZYXMV-UHFFFAOYSA-N
Properties
Density 1.331g/cm3 (Cal.)
Boiling point 630.381°C at 760 mmHg (Cal.)
Flash point 335.043°C (Cal.)
Refractive index 1.56 (Cal.)
Market Analysis Reports
Related Products
Methyl-2-Deoxy-...  5-Methyl-3'-deo...  Methyldesorphin...  Methyl Desoxych...  Methyl Desoxych...  N-Methyldiaceta...  Methyl Diacetoa...  Methyl 7,9-diac...  Methyl 3,5-Diac...  Methyl (3alpha,...  7-Methyl-10,17-...  Methyl 3alpha,7...  Methyl (4R,5E,7...  Methyldiacetoxy...  Methyl N,N-Diac...  Methyl 4,5-di-O...  O-Methyl-Di-N-A...  Methyl 4,6-Di-O...  Methyl 3,4-Di-O...  Methyl 4,6-Di-O...