Identification
| Name |
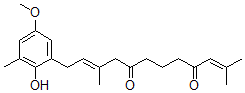
(10E)-12-(2-Hydroxy-5-Methoxy-3-Methylphenyl)-2,10-Dimethyldodeca-2,10-Diene-4,8-Dione |
| Synonyms |
(10E)-12-(2-Hydroxy-5-Methoxy-3-Methyl-Phenyl)-2,10-Dimethyl-Dodeca-2,10-Diene-4,8-Dione; 2,10-Dodecadiene-4,8-Dione, 12-(2-Hydroxy-5-Methoxy-3-Methylphenyl)-2,10-Dimethyl-, (E)-; Mediterraneone |
|
| Molecular Structure |
 |
| Molecular Formula |
C22H30O4 |
| Molecular Weight |
358.48 |
| CAS Registry Number |
133301-13-0 |
| SMILES |
C1=C(C(=C(C=C1OC)C)O)C\C=C(\CC(=O)CCCC(=O)C=C(C)C)C |
| InChI |
1S/C22H30O4/c1-15(2)11-19(23)7-6-8-20(24)12-16(3)9-10-18-14-21(26-5)13-17(4)22(18)25/h9,11,13-14,25H,6-8,10,12H2,1-5H3/b16-9+ |
| InChIKey |
CVEFQWHXBDODSR-CXUHLZMHSA-N |
|