Online Database of Chemicals from Around the World

Propylene glycol monostearate
[CAS 1323-39-3]

List of Suppliers
Hefei TNJ Chemical Industry Co., Ltd. China
www.tnjchem.com
+86 (551) 6541-8684
+86 (551) 6541-8697
sales@tnjchem.com
Chemical manufacturer since 2001
chemBlink Standard supplier since 2010
Nantong C&R Chemical Co., Ltd. China
www.chenrunchem.com
+86 (513) 8874-3581
+86 15358700783
+86 (513) 8297-1198
chenrunchem@sina.com
909600256@qq.com
QQ Chat
Chemical manufacturer since 2009
chemBlink Standard supplier since 2013
Hangzhou Leap Chem Co., Ltd. China
www.leapchem.com
+86 (571) 8771-1850
market19@leapchem.com
QQ Chat
Chemical manufacturer since 2006
chemBlink Standard supplier since 2015
Scientific Polymer Products, Inc. USA
www.scientificpolymer.com
+1 (585) 265-0413
+1 (585) 265-1390
custserv@scipoly.com
Chemical manufacturer

Identification
ClassificationFood additive >> Emulsifier
NamePropylene glycol monostearate
SynonymsOctadecanoic acid monoester with 1,2-propanediol; Stearic acid ester with 1,2-propanediol; 1,2-Propanediol monostearate ; 1,2-Propylene glycol monostearate; Aldo PGHMS; Atlas G 2158; Atlas G 922; Cerasynt PA; Cerasynt PN; Crill 26; Dragil P; EMP 1800; Emalex PGMS; Emcol PS 50; Emcol PS 50RHP; Emerest 2381
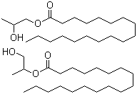
Molecular StructurePropylene glycol monostearate molecular structure (CAS 1323-39-3)
Molecular FormulaC21H42O3
Molecular Weight342.56
CAS Registry Number1323-39-3
EC Number215-354-3
Properties
Melting point44 °C
Safety Data
Hazard Classification
up    Details
HazardClassCategory CodeHazard Statement
Chronic hazardous to the aquatic environmentAquatic Chronic4H413
SDSAvailable
Market Analysis Reports
Related Products
Propylene Glyco...  Propylene glyco...  Propylene Glyco...  Propylene Glyco...  Propylene Glyco...  Propylene glyco...  Propylene Glyco...  Propylene glyco...  Propylene glyco...  Propylene Glyco...  Propylene glyco...  Propylene glyco...  Propyleneglycol...  (R)-(+)-Propyle...  (S)-(-)-Propyle...  Propylene oxide  Propylene oxide...  Propylene tetra...  Propyleneurea  N-n-Propyl-N-(2...