| Achemica | Switzerland | |||
|---|---|---|---|---|
![]() |
+41 (24) 466-2929 | |||
![]() |
contact@achemica.com | |||
| Chemical manufacturer since 2010 | ||||
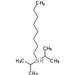
| Name | Diisopropyl(Octyl)Silane |
|---|---|
| Synonyms | Diisopropyloctylsilane |
| Molecular Structure | ![]() |
| Molecular Formula | C14H32Si |
| Molecular Weight | 228.49 |
| CAS Registry Number | 129536-19-2 |
| SMILES | CCCCCCCC[SiH](C(C)C)C(C)C |
| InChI | 1S/C14H32Si/c1-6-7-8-9-10-11-12-15(13(2)3)14(4)5/h13-15H,6-12H2,1-5H3 |
| InChIKey | AELQFRLRNCJZQE-UHFFFAOYSA-N |
| Boiling point | 258.856°C at 760 mmHg (Cal.) |
|---|---|
| Flash point | 120.642°C (Cal.) |
| Refractive index | (Cal.) |
| Market Analysis Reports |