| Achemica | Switzerland | |||
|---|---|---|---|---|
![]() |
+41 (24) 466-2929 | |||
![]() |
contact@achemica.com | |||
| Chemical manufacturer since 2010 | ||||
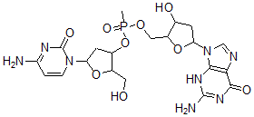
| Name | 2-Amino-9-[5-[[[5-(4-Amino-2-Oxopyrimidin-1-Yl)-2-(Hydroxymethyl)Oxolan-3-Yl]Oxy-Methylphosphoryl]Oxymethyl]-4-Hydroxyoxolan-2-Yl]-3H-Purin-6-One |
|---|---|
| Synonyms | 2-Amino-9-[5-[[[5-(4-Amino-2-Oxo-Pyrimidin-1-Yl)-2-(Hydroxymethyl)Tetrahydrofuran-3-Yl]Oxy-Methyl-Phosphoryl]Oxymethyl]-4-Hydroxy-Tetrahydrofuran-2-Yl]-3H-Purin-6-One; 2-Amino-9-[5-[[[5-(4-Amino-2-Oxo-1-Pyrimidinyl)-2-(Hydroxymethyl)-3-Tetrahydrofuranyl]Oxy-Methylphosphoryl]Oxymethyl]-4-Hydroxy-2-Tetrahydrofuranyl]-3H-Purin-6-One; 2-Amino-9-[5-[[[5-(4-Amino-2-Keto-Pyrimidin-1-Yl)-2-Methylol-Tetrahydrofuran-3-Yl]Oxy-Methyl-Phosphoryl]Oxymethyl]-4-Hydroxy-Tetrahydrofuran-2-Yl]-3H-Purin-6-One |
| Molecular Structure | ![]() |
| Molecular Formula | C20H27N8O9P |
| Molecular Weight | 554.46 |
| CAS Registry Number | 128312-31-2 |
| SMILES | C1=NC5=C([N]1C2OC(C(O)C2)CO[P](OC4C(OC(N3C=CC(=NC3=O)N)C4)CO)(=O)C)NC(=NC5=O)N |
| InChI | 1S/C20H27N8O9P/c1-38(33,37-10-5-15(35-11(10)6-29)27-3-2-13(21)24-20(27)32)34-7-12-9(30)4-14(36-12)28-8-23-16-17(28)25-19(22)26-18(16)31/h2-3,8-12,14-15,29-30H,4-7H2,1H3,(H2,21,24,32)(H3,22,25,26,31) |
| InChIKey | XHXQRVAZNAXVMD-UHFFFAOYSA-N |
| Density | 1.999g/cm3 (Cal.) |
|---|---|
| Boiling point | 935.201°C at 760 mmHg (Cal.) |
| Flash point | 519.391°C (Cal.) |
| Market Analysis Reports |