Online Database of Chemicals from Around the World

5,5'-Dihydroxylysylnorleucine
[CAS 12764-49-7]

Suppliers
Santa Cruz Biotechnology, Inc. USA
+1 (831) 457-3800
scbt@scbt.com
Chemical manufacturer
Identification
Name 5,5'-Dihydroxylysylnorleucine
Synonyms (2S,5R)-2-Amino-6-[(5-Amino-2,6-Dihydroxy-6-Oxo-Hexyl)Amino]-5-Hydroxy-Hexanoic Acid; (2S,5R)-2-Amino-6-[(5-Amino-2,6-Dihydroxy-6-Keto-Hexyl)Amino]-5-Hydroxy-Hexanoic Acid; Dhlnl
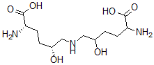
Molecular Structure CAS#: 12764-49-7, 5,5'-Dihydroxylysylnorleucine
Molecular Formula C12H25N3O6
Molecular Weight 307.35
CAS Registry Number 12764-49-7
SMILES [C@H](N)(CC[C@@H](O)CNCC(O)CCC(N)C(=O)O)C(=O)O
InChI 1S/C12H25N3O6/c13-9(11(18)19)3-1-7(16)5-15-6-8(17)2-4-10(14)12(20)21/h7-10,15-17H,1-6,13-14H2,(H,18,19)(H,20,21)/t7-,8?,9+,10?/m1/s1
InChIKey COYAOJMPFAKKAM-RJQCTPFPSA-N
Properties
Density 1.345g/cm3 (Cal.)
Boiling point 640.312°C at 760 mmHg (Cal.)
Flash point 341.049°C (Cal.)
Market Analysis Reports
Related Products
5,7-Dihydroxy-1...  3,26-Dihydroxyl...  3beta,16alpha-D...  4,9-Dihydroxy-a...  5,5-Dihydroxy-L...  4,5-Dihydro-6-D...  3,27-Dihydroxy-...  (3beta)-3,28-Di...  (5R,5’R)-Dihydr...  (5S,5’R)-Dihydr...  DL-3,4-Dihydrox...  3,4-Dihydroxyma...  3,4-Dihydroxyma...  (R)-2,4-Dihydro...  4,6-Dihydroxy-2...  2',4'-Dihydroxy...  2',3'-Dihydroxy...  2,4-Dihydroxy-5...  1,3-Dihydroxy-2...  1,6-Dihydroxy-2...