Online Database of Chemicals from Around the World

(2R)-3-[(Hydroxy{2-[(7-Nitro-2,1,3-Benzoxadiazol-4-Yl)Amino]Ethoxy}Phosphoryl)Oxy]-2-(Tetradecanoyloxy)Propyl Myristate
[CAS 123402-48-2]

Suppliers
Santa Cruz Biotechnology, Inc. USA
+1 (831) 457-3800
scbt@scbt.com
Chemical manufacturer
Sigma-Aldrich, Inc. USA
+86 (21) 6141-5566 / 800-819-3336
ordercn@sial.com,
Chemical manufacturer since 1992
Identification
Name (2R)-3-[(Hydroxy{2-[(7-Nitro-2,1,3-Benzoxadiazol-4-Yl)Amino]Ethoxy}Phosphoryl)Oxy]-2-(Tetradecanoyloxy)Propyl Myristate
Synonyms 1,2-Dimyristoyl-sn-glycero-3-phosphoethanolamine, 7-nitrobenzofurazan-labeled; L-β,γ-Dimyristoyl-α-cephaline, 7-nitrobenzofurazan-labeled; N-(7-Nitro-benzofurazan-4-yl)-1,2-dimyristoyl-sn-glycero-3-phosphoethanolamine
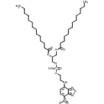
Molecular Structure CAS#: 123402-48-2, (2R)-3-[(Hydroxy{2-[(7-Nitro-2,1,3-Benzoxadiazol-4-Yl)Amino]Ethoxy}Phosphoryl)Oxy]-2-(Tetradecanoyloxy)Propyl Myristate
Molecular Formula C39H67N4O11P
Molecular Weight 798.94
CAS Registry Number 123402-48-2
SMILES O=C(OC[C@@H](OC(=O)CCCCCCCCCCCCC)COP(=O)(O)OCCNc1ccc(c2nonc12)[N+]([O-])=O)CCCCCCCCCCCCC
InChI 1S/C39H67N4O11P/c1-3-5-7-9-11-13-15-17-19-21-23-25-36(44)50-31-33(53-37(45)26-24-22-20-18-16-14-12-10-8-6-4-2)32-52-55(48,49)51-30-29-40-34-27-28-35(43(46)47)39-38(34)41-54-42-39/h27-28,33,40H,3-26,29-32H2,1-2H3,(H,48,49)/t33-/m1/s1
InChIKey DDUUUCKXVHPVOB-MGBGTMOVSA-N
Properties
Density 1.151g/cm3 (Cal.)
Boiling point 830.127°C at 760 mmHg (Cal.)
Flash point 455.844°C (Cal.)
Refractive index 1.524 (Cal.)
Market Analysis Reports
Related Products
2-Hydroxy-4-Nit...  2-Hydroxy-4-nit...  3-Hydroxy-5-nit...  4-Hydroxy-3-Nit...  4-Hydroxy-3-Nit...  6-Hydroxy-1-nit...  3-Hydroxy-6-Nit...  1-Hydroxy-6-Nit...  4-Hydroxy-3-nit...  (2R)-3-[(Hydrox...  [3-Hydroxy-2-[6...  4-(6-Hydroxy-5-...  4-Hydroxy-7-[(4...  4-Hydroxy-7-[(3...  3-Hydroxy-7-[(4...  5-[(4-Hydroxy-5...  2-Hydroxy-4-Nit...  4-Hydroxy-3-Nit...  4-Hydroxy-3-nit...  2-Hydroxy-4-nit...