Online Database of Chemicals from Around the World

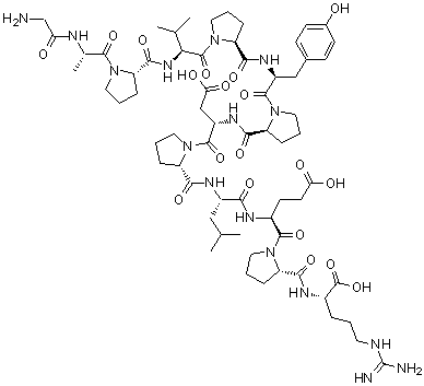
Glycyl-L-alanyl-L-prolyl-L-valyl-L-prolyl-L-tyrosyl-L-prolyl-L-alpha-aspartyl-L-prolyl-L-leucyl-L-alpha-glutamyl-L-prolyl-L-arginine
[CAS 120944-72-1]

List of Suppliers
Creative Peptides USA
www.creative-peptides.com
+1 (631) 624-4882
+1 (631) 614-7828
info@creative-peptides.com
Chemical manufacturer
chemBlink Standard supplier since 2010

Identification
NameGlycyl-L-alanyl-L-prolyl-L-valyl-L-prolyl-L-tyrosyl-L-prolyl-L-alpha-aspartyl-L-prolyl-L-leucyl-L-alpha-glutamyl-L-prolyl-L-arginine
Molecular StructureGlycyl-L-alanyl-L-prolyl-L-valyl-L-prolyl-L-tyrosyl-L-prolyl-L-alpha-aspartyl-L-prolyl-L-leucyl-L-alpha-glutamyl-L-prolyl-L-arginine molecular structure (CAS 120944-72-1)
Molecular FormulaC65H98N16O19
Molecular Weight1407.57
CAS Registry Number120944-72-1
Properties
SolubilityVery soluble (1000 g/L) (25 °C), Calc.*
Density1.51±0.1 g/cm3 (20 °C 760 Torr), Calc.*
*Calculated using Advanced Chemistry Development (ACD/Labs) Software V11.02 (©1994-2016 ACD/Labs)
Safety Data
SDSAvailable
Market Analysis Reports
Related Products
Glycyl-DL-alani...  Glycyl-L-Alanyl...  Glycyl-L-alanyl...  Glycyl-L-alanyl...  Glycyl-beta-Ala...  Glycyl-L-alanyl...  Glycyl-L-alanyl...  Glycyl-L-alanyl...  Glycyl-L-alanyl...  Glycyl-alanyl-p...  Glycyl-L-Alanyl...  Glycyl-Alanyl-V...  S-(2-Glycylamid...  2-[[2-(Glycylam...  2-(Glycylamino)...  2-(Glycylamino)...  2-{[2-(Glycylam...  Glycyl-4-aminob...  N-Glycyl-DL-2-A...  1-(Glycylamino)...