Online Database of Chemicals from Around the World

1,2-Dipalmitoyl-L-alpha-phosphatidyl-D-myo-inositol 4,5-bisphosphate
[CAS 120595-88-2]

Suppliers
Fluorochem Ltd. UK
+44 (1457) 860-111
enquiries@fluorochem.co.uk
Chemical manufacturer
Sigma-Aldrich, Inc. USA
+86 (21) 6141-5566 / 800-819-3336
ordercn@sial.com,
Chemical manufacturer since 1992
Identification
Name 1,2-Dipalmitoyl-L-alpha-phosphatidyl-D-myo-inositol 4,5-bisphosphate
Synonyms [(2R)-2-Hexadecanoyloxy-3-[Hydroxy-[(1R,2R,3S,4R,5R,6S)-2,3,6-Trihydroxy-4,5-Diphosphonooxy-Cyclohexoxy]Phosphoryl]Oxy-Propyl] Hexadecanoate; Hexadecanoic Acid [(2R)-3-[Hydroxy-[(1R,2R,3S,4R,5R,6S)-2,3,6-Trihydroxy-4,5-Diphosphonooxycyclohexoxy]Phosphoryl]Oxy-2-(1-Oxohexadecoxy)Propyl] Ester; Palmitic Acid [(2R)-2-Hexadecanoyloxy-3-[Hydroxy-[(1R,2R,3S,4R,5R,6S)-2,3,6-Trihydroxy-4,5-Diphosphonooxy-Cyclohexoxy]Phosphoryl]Oxy-Propyl] Ester
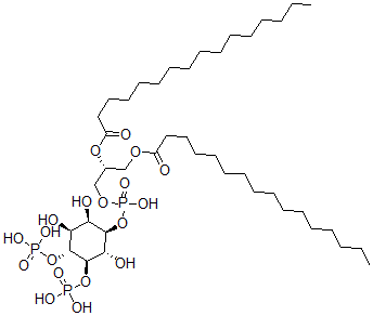
Molecular Structure CAS#: 120595-88-2, 1,2-Dipalmitoyl-L-alpha-phosphatidyl-D-myo-inositol 4,5-bisphosphate
Molecular Formula C41H81O19P3
Molecular Weight 971.00
CAS Registry Number 120595-88-2
SMILES [C@H]1(O[P](=O)(O)O)[C@H](O[P](=O)(O)O)[C@@H](O)[C@@H](O)[C@@H](O[P](OC[C@H](OC(=O)CCCCCCCCCCCCCCC)COC(=O)CCCCCCCCCCCCCCC)(=O)O)[C@@H]1O
InChI 1S/C41H81O19P3/c1-3-5-7-9-11-13-15-17-19-21-23-25-27-29-34(42)55-31-33(57-35(43)30-28-26-24-22-20-18-16-14-12-10-8-6-4-2)32-56-63(53,54)60-39-36(44)37(45)40(58-61(47,48)49)41(38(39)46)59-62(50,51)52/h33,36-41,44-46H,3-32H2,1-2H3,(H,53,54)(H2,47,48,49)(H2,50,51,52)/t33-,36-,37+,38+,39-,40-,41-/m1/s1
InChIKey HKWJHKSHEWVOSS-MRQSADPDSA-N
Properties
Density 1.273g/cm3 (Cal.)
Boiling point 995.949°C at 760 mmHg (Cal.)
Flash point 556.13°C (Cal.)
Market Analysis Reports
Related Products
1,2-Dipalmitoyl...  1,2-Dipalmitoyl...  1,2-Dipalmitoyl...  Dipalmitoylphos...  1,3-Dipalmitoyl...  Dipalmitoyl L-a...  1,2-Dipalmitoyl...  1,2-Dipalmitoyl...  Dipalmitoyl pho...  Dipalmitoyl Pho...  Dipalmitoylphos...  Dipalmitoyl pho...  2,3-Dipalmitoyl...  1,2-Dipalmitoyl...  1,2-Dipalmitoyl...  1,2-Dipalmitoyl...  1,2-Dipalmitoyl...  1,2-Dipalmitoyl...  1,2-Dipalmityl(...  (R,R)-DIPAMP;(R...