Online Database of Chemicals from Around the World

Glycyrrhizin sulfate octaammonium salt
[CAS 111196-54-4]

Suppliers
CAS#: 111196-54-4
Product: Glycyrrhizin sulfate octaammonium salt
No suppilers available for the product.
Identification
Name Glycyrrhizin sulfate octaammonium salt
Synonyms Ammonia; 6-[(11-Carboxy-4,4,6A,6B,8A,11,14B-Heptamethyl-14-Oxo-2,3,4A,5,6,7,8,9,10,12,12A,14A-Dodecahydro-1H-Picen-3-Yl)Oxy]-5-(6-Carboxy-3,4,5-Trisulfooxy-Tetrahydropyran-2-Yl)Oxy-3,4-Disulfooxy-Tetrahydropyran-2-Carboxylic Acid; Ammonia; 6-[(11-Carboxy-4,4,6A,6B,8A,11,14B-Heptamethyl-14-Oxo-2,3,4A,5,6,7,8,9,10,12,12A,14A-Dodecahydro-1H-Picen-3-Yl)Oxy]-5-[(6-Carboxy-3,4,5-Trisulfooxy-2-Tetrahydropyranyl)Oxy]-3,4-Disulfooxy-2-Tetrahydropyrancarboxylic Acid; Ammonia; 6-[(11-Carboxy-14-Keto-4,4,6A,6B,8A,11,14B-Heptamethyl-2,3,4A,5,6,7,8,9,10,12,12A,14A-Dodecahydro-1H-Picen-3-Yl)Oxy]-5-(6-Carboxy-3,4,5-Trisulfoxy-Tetrahydropyran-2-Yl)Oxy-3,4-Disulfoxy-Tetrahydropyran-2-Carboxylic Acid
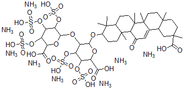
Molecular Structure CAS#: 111196-54-4, Glycyrrhizin sulfate octaammonium salt
Molecular Formula C42H86N8O31S5
Molecular Weight 1359.48
CAS Registry Number 111196-54-4
SMILES N.N.N.N.N.N.CC45C(C3(C(C(C(OC1OC(C(O[S](O)(=O)=O)C(O[S](O)(=O)=O)C1OC2OC(C(O[S](O)(=O)=O)C(O[S](O)(=O)=O)C2O[S](O)(=O)=O)C(O)=O)C(O)=O)CC3)(C)C)CC4)C)C(=O)C=C6C5(CCC7(C6CC(CC7)(C)C(O)=O)C)C.N.N
InChI 1S/C42H62O31S5.8H3N/c1-37(2)21-8-11-42(7)31(20(43)16-18-19-17-39(4,36(48)49)13-12-38(19,3)14-15-41(18,42)6)40(21,5)10-9-22(37)65-34-29(25(71-76(56,57)58)23(69-74(50,51)52)27(66-34)32(44)45)68-35-30(73-78(62,63)64)26(72-77(59,60)61)24(70-75(53,54)55)28(67-35)33(46)47;;;;;;;;/h16,19,21-31,34-35H,8-15,17H2,1-7H3,(H,44,45)(H,46,47)(H,48,49)(H,50,51,52)(H,53,54,55)(H,56,57,58)(H,59,60,61)(H,62,63,64);8*1H3
InChIKey BEXVMDYLGCQWOP-UHFFFAOYSA-N
Market Analysis Reports
Related Products
Glycyrrhetinyl ...  Glycyrrhetyl 30...  Glycyrrhisoflav...  Glycyrrhiza gla...  Glycyrrhizic ac...  Glycyrrhizic ac...  Glycyrrhizic ac...  Glycyrrhizic Ac...  Glycyrrhizic ac...  Glycyrrhizic ac...  H-Gly-DL-Cys(1)...  Glyderinine;(2S...  2-Gly-9-Des-Gly...  2-Gly-9-Des-Gly...  Glyfoline;1,6-D...  Gly-Glu-Gln-Arg...  H-Gly-Glu-Gly-O...  H-Gly-Gly-beta-...  Gly-Gly-Arg Ace...  H-Gly-Gly-Arg-A...