| Fermentek Ltd. | Israel | |||
|---|---|---|---|---|
![]() | www.fermentek.com | |||
![]() | +972 (2) 585-3953 | |||
![]() | +972 (2) 585-3943 | |||
![]() | fermentek@fermentek.com | |||
| Chemical manufacturer since 1994 | ||||
| chemBlink Standard supplier since 2016 | ||||
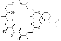
| Name | (-)-Oligomycin C |
|---|---|
| Molecular Structure | ![]() |
| Molecular Formula | C45H74O10 |
| Molecular Weight | 775.06 |
| CAS Registry Number | 11052-72-5 |
| EC Number | 234-276-0 |
| Solubility | Slightly soluble (2.4 g/L) (25 °C), Calc.* |
|---|---|
| Density | 1.091 g/cm3** |
| * | Calculated using Advanced Chemistry Development (ACD/Labs) Software V11.02 (©1994-2016 ACD/Labs) |
| ** | Palmer, Rex A. |
| Hazard Classification | |||||||||
|---|---|---|---|---|---|---|---|---|---|
| |||||||||
| SDS | Available | ||||||||
| Market Analysis Reports |