Online Database of Chemicals from Around the World

Idremcinal
[CAS 110480-13-2]

List of Suppliers
Alfa Chemistry USA
www.alfa-chemistry.com
+1 (201) 478-8534
+1 (516) 927-0118
inquiry@alfa-chemistry.com
Chemical distributor since 2012
chemBlink Standard supplier since 2012
Santa Cruz Biotechnology, Inc. USA
www.scbt.com
+1 (831) 457-3800
+1 (831) 457-3801
scbt@scbt.com
Chemical manufacturer

Identification
ClassificationAPI >> Hormone and endocrine-regulating drugs
NameIdremcinal
Synonyms8,9-Didehydro-N-demethyl-9-deoxo-6-deoxy-6,9-epoxy-N-(1-methylethyl)-erythromycin
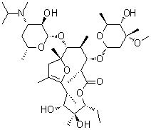
Molecular StructureIdremcinal molecular structure (CAS 110480-13-2)
Molecular FormulaC39H69NO12
Molecular Weight743.96
CAS Registry Number110480-13-2
Properties
SolubilitySlightly soluble (8.9 g/L) (25 °C), Calc.*
Density1.18±0.1 g/cm3 (20 °C 760 Torr), Calc.*
*Calculated using Advanced Chemistry Development (ACD/Labs) Software V11.02 (©1994-2013 ACD/Labs)
Market Analysis Reports
Related Products
O-(alpha-L-Idop...  D-Idosamine  L-(-)-Idose  D-Idose  L-Idouronic Aci...  Idoxifene  ent-Idoxuridine  3’-epi-Idoxurid...  Idralfidine  Idraparinux sod...  Idrocilamide  Idropranolol  Iduronate 2-sul...  Idursulfase  IEM 1754  Iem 760  Z-IETD-FMK  Ifenprodil  Ifenprodil Gluc...  Ifenprodil tart...