Online Database of Chemicals from Around the World

(2S,3R,4S,5R,6S)-3,4,5-Trihydroxy-6-[(2R,3R,4S,5R)-2,3,4,5-Tetrahydroxy-6-Oxohexoxy]Oxane-2-Carboxylic Acid
[CAS 109280-58-2]

Suppliers
CAS#: 109280-58-2
Product: (2S,3R,4S,5R,6S)-3,4,5-Trihydroxy-6-[(2R,3R,4S,5R)-2,3,4,5-Tetrahydroxy-6-Oxohexoxy]Oxane-2-Carboxylic Acid
No suppilers available for the product.
Identification
Name (2S,3R,4S,5R,6S)-3,4,5-Trihydroxy-6-[(2R,3R,4S,5R)-2,3,4,5-Tetrahydroxy-6-Oxohexoxy]Oxane-2-Carboxylic Acid
Synonyms (2S,3R,4S,5R,6S)-3,4,5-Trihydroxy-6-[(2R,3R,4S,5R)-2,3,4,5-Tetrahydroxy-6-Oxo-Hexoxy]Tetrahydropyran-2-Carboxylic Acid; (2S,3R,4S,5R,6S)-3,4,5-Trihydroxy-6-[(2R,3R,4S,5R)-2,3,4,5-Tetrahydroxy-6-Oxohexoxy]-2-Tetrahydropyrancarboxylic Acid; (2S,3R,4S,5R,6S)-3,4,5-Trihydroxy-6-[(2R,3R,4S,5R)-2,3,4,5-Tetrahydroxy-6-Keto-Hexoxy]Tetrahydropyran-2-Carboxylic Acid
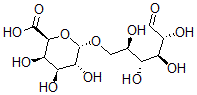
Molecular Structure CAS#: 109280-58-2, (2S,3R,4S,5R,6S)-3,4,5-Trihydroxy-6-[(2R,3R,4S,5R)-2,3,4,5-Tetrahydroxy-6-Oxohexoxy]Oxane-2-Carboxylic Acid
Molecular Formula C12H20O12
Molecular Weight 356.28
CAS Registry Number 109280-58-2
SMILES [C@H]1([C@H]([C@H]([C@H](O[C@@H]1OC[C@H]([C@H]([C@@H]([C@H](C=O)O)O)O)O)C(=O)O)O)O)O
InChI 1S/C12H20O12/c13-1-3(14)5(16)6(17)4(15)2-23-12-9(20)7(18)8(19)10(24-12)11(21)22/h1,3-10,12,14-20H,2H2,(H,21,22)/t3-,4+,5+,6+,7-,8+,9+,10-,12-/m0/s1
InChIKey NBTUEARNKVTGKY-RBAZEOKYSA-N
Properties
Density 1.784g/cm3 (Cal.)
Boiling point 841.165°C at 760 mmHg (Cal.)
Flash point 312.02°C (Cal.)
Market Analysis Reports
Related Products
(7R,8S,9S,10S)-...  7-(7,8,9-Trihyd...  (3beta(2S,3S,4S...  6,7,8-Trihydrox...  4,6,7-Trihydrox...  2-[(3S,4R,5R)-3...  2-[(2R,3R,4S,5S...  2-[(2R,3S,4R,5R...  (2S,3S,4S,5R,6S...  [(2R,3R,4S,5R,6...  5,3',4'-Trihydr...  4-[(2S,3R,4S,5S...  1,3,5-Trihydrox...  1,3,5-Trihydrox...  (2S,3S,4S,5R,6R...  2,3,4-Trihydrox...  3,4,5-Trihydrox...  [3,4,5-Trihydro...  2-[[(2R,3S,4R,5...  [(2S,3R,4S,5S,6...