Online Database of Chemicals from Around the World

Acetyl coenzyme A sodium salt
[CAS 102029-73-2]

List of Suppliers
BOC Sciences USA
www.bocsci.com
+1 (631) 485-4226
+1 (631) 614-7828
info@bocsci.com
Chemical manufacturer
chemBlink Standard supplier since 2010
Alfa Chemistry USA
www.alfa-chemistry.com
+1 (201) 478-8534
+1 (516) 927-0118
inquiry@alfa-chemistry.com
Chemical distributor since 2012
chemBlink Standard supplier since 2012
Cayman Chemical Company USA
www.caymanchem.com
+1 (734) 971-3335
+1 (734) 971-3640
sales@caymanchem.com
Chemical manufacturer
Endotherm GmbH Germany
www.endotherm-lsm.com
+49 (681) 3946-7570
+49 (681) 3946-7571
info@endotherm.de
Chemical manufacturer
Interchim Inc. USA
www.interchiminc.com
+1 (800) 560-8262
info@interchiminc.com
Chemical manufacturer

Identification
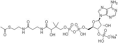
NameAcetyl coenzyme A sodium salt
Molecular StructureAcetyl coenzyme A sodium salt molecular structure (CAS 102029-73-2)
Molecular FormulaC23H37N7NaO17P3S
Molecular Weight831.55
CAS Registry Number102029-73-2
Safety Data
SDSAvailable
Market Analysis Reports
Related Products
N-Acetyl-D-chon...  N-Acetylchondro...  3-Acetyl-2H-Chr...  N-Acetylcilasta...  25-O-Acetylcimi...  Acetyl Citalopr...  N-Acetyl-L-citr...  Acetylclonidine  N-Acetyl-D-[1-1...  Acetyl Coenzyme...  Acetyl coenzyme...  Acetyl Coenzyme...  N-Acetylcolchin...  13-O-Acetylcori...  2-O-Acetylcoros...  3-O-Acetylcoros...  N-Acetyl-alpha1...  N-Acetylcyanami...  S-{2-[Acetyl(Cy...  N-Acetyl-1-Cyan...