Online Database of Chemicals from Around the World

Lodoxamide tromethamine SDS (CAS 63610-09-3)

This page provides the Safety Data Sheet (SDS) for Lodoxamide tromethamine (CAS 63610-09-3), including information on hazards, first-aid measures, storage, handling requirements, and more. Users may download the SDS file free of charge for laboratory or industrial reference.

Product Info

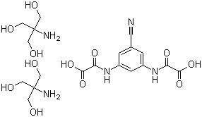
structure of CAS# 63610-09-3, Lodoxamide tromethamine
Product Name Lodoxamide tromethamine
CAS Registry Number 63610-09-3
Molecular Formula C11H6ClN3O6.2(C4H11NO3)
Molecular Weight 553.14
More information of Lodoxamide tromethamine
 
Source SDS Document
Matrix
www.matrixscientific.com/media/msds/14/33/36/MxMSDS_143336.pdf
View / download

Disclaimer

The SDS samples above are collected from the Internet by chemBlink and displayed here for the tutorial purpose only. chemBlink LLC provides the information contained herein in good faith but makes no representation as to its comprehensiveness or accuracy. Read full context...



Frequently Asked Questions (FAQ)
What is an SDS?   How do I download an SDS?   Are SDSs free?   What is the difference between SDS and MSDS?



More SDS files for chemicals
2-Bromo-5-metho...   4-(Phenoxymethy...   4-[(4-Chlorophe...   1,4-Benzenedica...   Indobufen   2-Chloro-5-nitr...   2-Chloro-6-nitr...   2,5-Dichloroben...   Nilutamide   3-Benzyl-3-Azab...