Online Database of Chemicals from Around the World

omega-Conotoxin M VIIC SDS (CAS 147794-23-8)

This page provides the Safety Data Sheet (SDS) for omega-Conotoxin M VIIC (CAS 147794-23-8), including information on hazards, first-aid measures, storage, handling requirements, and more. Users may download the SDS file free of charge for laboratory or industrial reference.

Product Info

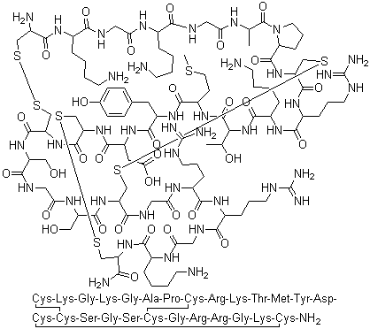
structure of CAS# 147794-23-8, omega-Conotoxin M VIIC
Product Name omega-Conotoxin M VIIC
CAS Registry Number 147794-23-8
Molecular Formula C106H178N40O32S7
Molecular Weight 2749.25
More information of omega-Conotoxin M VIIC
 
Source SDS Document
Sigma-Aldrich
www.sigmaaldrich.com/catalog/Lookup.do?N5=All&N3=mode+matchpartialmax&N1=S_ID&ST=RS&N25=0&F=PR&D7=0&N4=147794-23-8
View / download
Cayman
www.caymanchem.com/msdss/24411m.pdf
View / download

Disclaimer

The SDS samples above are collected from the Internet by chemBlink and displayed here for the tutorial purpose only. chemBlink LLC provides the information contained herein in good faith but makes no representation as to its comprehensiveness or accuracy. Read full context...



Frequently Asked Questions (FAQ)
What is an SDS?   How do I download an SDS?   Are SDSs free?   What is the difference between SDS and MSDS?



More SDS files for chemicals
N-{[4'-({3-Buty...   (S)-2-Amino-6-m...   2-Imino-3-Methy...   2-Amino-5-methy...   (2E)-3-(5-Methy...   3,5-Dimethoxy-4...   Santacruzamate...   Methylamine-D2...   3-Oxo-N-[(3S)-t...   Methylamine-D5...